top of page
Digite um trecho da questão com 3 até 10 palavras. Evite equações ou fórmulas. Clique em 'Buscar Questão'.
Específica Title
Específica Title
Específica Title
Vestibular
Questão
Nível
Errou
Acertou
Ainda não fez
Avisos
O gabarito dessa questão ainda não foi cadastrado em nosso banco de dados.
Desculpe-nos pelo transtorno.

#1: Primeiro, conte o número total de artrópodes listados para determinar o espaço amostral.
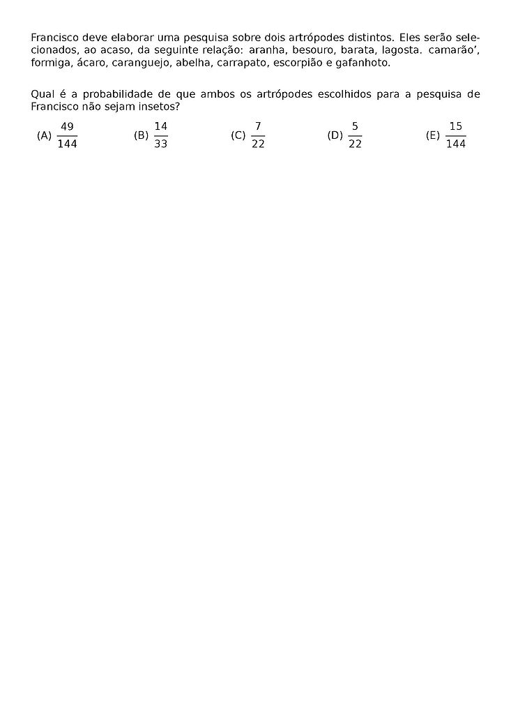
![FRANCISCO DEVE ELABORAR UMA PESQUISA SOBRE DOIS ARTROPODES DISTINTOS. ELES SERAO SELECIONADOS, AO ACASO, DA SEGUINTE RELACAO: ARANHA, BESOURO, BARATA, LAGOSTA. CAMARAO', FORMIGA, ACARO, CARANGUEJO, ABELHA, CARRAPATO, ESCORPIAO E GAFANHOTO.
QUAL E A PROBABILIDADE DE QUE AMBOS OS ARTROPODES ESCOLHIDOS PARA A PESQUISA DE FRANCISCO NAO SEJAM INSETOS?
\BEGIN{MULTICOLS}{5}
\BEGIN{ENUMERATE}[LABEL=({\ALPH*})]
\ITEM \FRAC{49}{144}
\ITEM \FRAC{14}{33}
\ITEM \FRAC{7}{22}
\ITEM \FRAC{5}{22}
\ITEM \FRAC{15}{144}
\END{ENUMERATE}
\END{MULTICOLS}](https://static.wixstatic.com/media/4ca89d_fd0499c0109b466b8a2fe9c3fa2b3e25~mv2.jpg/v1/fill/w_733,h_1036,al_c,q_85,usm_0.66_1.00_0.01,enc_avif,quality_auto/4ca89d_fd0499c0109b466b8a2fe9c3fa2b3e25~mv2.jpg)
bottom of page